Beranda
/ Ukt Ugm Jalur Mandiri / Cek Link Pengumuman Hasil Cbt Um Ugm Selasa 6 Juli 2021 Utul Jalur Mandiri Ini Laman Universitas Gadjah Mada Seputar Lampung - Besaran ukt s1 jalur mandiri ui.
Ukt Ugm Jalur Mandiri / Cek Link Pengumuman Hasil Cbt Um Ugm Selasa 6 Juli 2021 Utul Jalur Mandiri Ini Laman Universitas Gadjah Mada Seputar Lampung - Besaran ukt s1 jalur mandiri ui.
Ukt Ugm Jalur Mandiri / Cek Link Pengumuman Hasil Cbt Um Ugm Selasa 6 Juli 2021 Utul Jalur Mandiri Ini Laman Universitas Gadjah Mada Seputar Lampung - Besaran ukt s1 jalur mandiri ui.. Sementara itu, ukt paling mahal di ugm adalah program studi kedokteran umum, fakultas kedokteran golongan 7 berkisar rp19.000.000. Seleksi mandiri ptn merupakan penerimaan mahasiswa baru di suatu ptn yang diadakan dan dikelola sendiri oleh perguruan tinggi tersebut. Beranda kilas kampus berikut daftar ukt jalur mandiri unm. Artinya semua jalur pendaftaran seperti snmptn, sbmptn, ujian mandiri, dan jalur lain akan memiliki sistem pengelompokan ukt yang sama. Biaya kuliah jalur mandiri ugm tetap menggunakan sistem ukt dengan melihat latar belakang atau kemampuan ekonomi orang tua.
Utul ugm, pbuk, pbutm (tidak mampu), pbub (berprestasi, seni, olahraga, hafiz quran). Total biaya kuliah lewat jalur mandiri di ptn favorite 2020. Kategori kelompok uang kuliah tunggal (ukt) program sarjana dan sarjana terapan, jalur snmptn, sbmptn, dan seleksi mandiri ta 2021/2022 terbagi atas kategori. Cara pendaftaran ugm jalur seleksi mandiri. Jika kalian ada info, bisa banget bantu menambahkan informasi melalui kolom komentar yah.
Jalur Mandiri Ugm 2021 Jadwal Cara Daftar Syarat Biaya from media.suara.com Seleksi mandiri ptn merupakan penerimaan mahasiswa baru di suatu ptn yang diadakan dan dikelola sendiri oleh perguruan tinggi tersebut. Cara pendaftaran ugm jalur seleksi mandiri. Biaya kuliah jalur mandiri ugm tetap menggunakan sistem ukt dengan melihat latar belakang atau kemampuan ekonomi orang tua. Tidak ada uang gedung, uang pangkal/spi atau dana lainnya yang dibebankan kepada mahasiswa baru jalur mandiri. Nominal yang sama juga berlaku untuk mahasiswa di jalur masuk ujian mandiri (um) mandiri. Ukt mahasiswa baru jalur snmptn dan sbmptn 2021. Sementara di program sarjana terapan, ukt paling rendah sebesar rp 12 juta dan paling tinggi sebesar rp 14 juta. Seleksi mandiri ub merupakan seleksi masuk universitas brawijaya yang diselenggarakan secara mandiri oleh universitas brawijaya.
Seleksi mandiri ptn merupakan penerimaan mahasiswa baru di suatu ptn yang diadakan dan dikelola sendiri oleh perguruan tinggi tersebut.
Mahasiswa yang diterima melalui jalur seleksi ini akan memperoleh beasiswa ukt selama 8 semester dari ugm, apabila memenuhi prestasi yang. Syarat, rincian biaya, dan jadwal seleksi ujian mandiri universitas gadjah mada (um ugm) 2021 yang telah dibuka sejak 2 juni 2021. Universitas gadjah mada dalam pembayaran kuliah baik dari jalur snmptn, jalur sbmptn, jalur ujian mandiri, dan jalur prestasi telah menerapkan sistem biaya kuliah ugm dengan ukt (uang kuliah tunggal) sejak tahun ajaran 2013 lalu. Nominal yang sama juga berlaku untuk mahasiswa di jalur masuk ujian mandiri (um) mandiri. Tidak ada uang gedung, uang pangkal/spi atau dana lainnya yang dibebankan kepada mahasiswa baru jalur mandiri. Selain tahapan tes, peminat jalur mandiri ugm juga dapat mengetahui informasi pembiayaan kuliah atau uang kuliah tunggal (ukt) di kampus tersebut. Sementara, untuk pembayaran ukt dan registrasi. Untuk metode pembayarannya para mahasiswa baru yang lolos jalur mandiri langsung membayar biaya ukt dan dana pengembangan. Berita terbaru cpns 2021/2022 silahkan kunjungi sscn bkn 2021/2022. Pengumuman hasil seleksi keluar pada 25 mei 2021. Jika kalian ada info, bisa banget bantu menambahkan informasi melalui kolom komentar yah. Update seleksi jalur mandiri ub dan um 2020. Seleksi mandiri ptn merupakan penerimaan mahasiswa baru di suatu ptn yang diadakan dan dikelola sendiri oleh perguruan tinggi tersebut.
Untuk metode pembayarannya para mahasiswa baru yang lolos jalur mandiri langsung membayar biaya ukt dan dana pengembangan. Jalur seleksi penerimaan mahasiswa baru mandiri (spmb mandiri) merupakan salah satu jalur masuk mandiri uin syarif hidayatullah jakarta melalui sistem seleksi elektronik (sse). Ujian mandiri ugm memberikan kesempatan kepada lulusan sma/smk/ma/paket c atau sederajat tahun 2021, 2020, dan 2019 untuk mengikuti seleksi. Untuk jalur mandiri sendiri, admin belum dapat info kredibel mengenai hal ini. Ukt unand mandiri, ukt universitas negeri malang, ukt unimed tahun 2018, ukumu, ukum local government, ultimy lexington ky, ultimtorgncnutr debit card charge, ukt unand, utumusic, uk umbrella culture seleksi mandiri ugm bidikmisi.
Ukt Ugm 2021 Biaya Kuliah Ugm 2021 2022 Semua Jurusan from news.schmu.id Cara pendaftaran ugm jalur seleksi mandiri. Berikut biaya ukt beberapa jurusan di ugm 2020. Universitas gadjah mada dalam pembayaran kuliah baik dari jalur snmptn, jalur sbmptn, jalur ujian mandiri, dan jalur prestasi telah menerapkan sistem biaya kuliah ugm dengan ukt (uang kuliah tunggal) sejak tahun ajaran 2013 lalu. Untuk metode pembayarannya para mahasiswa baru yang lolos jalur mandiri langsung membayar biaya ukt dan dana pengembangan. Tidak ada uang gedung, uang pangkal/spi atau dana lainnya yang dibebankan kepada mahasiswa baru jalur mandiri. Selain tahapan tes, peminat jalur mandiri ugm juga dapat mengetahui informasi pembiayaan kuliah atau uang kuliah tunggal (ukt) di kampus tersebut. Ukt unand mandiri, ukt universitas negeri malang, ukt unimed tahun 2018, ukumu, ukum local government, ultimy lexington ky, ultimtorgncnutr debit card charge, ukt unand, utumusic, uk umbrella culture seleksi mandiri ugm bidikmisi. Informasi terakhir diperbarui tanggal 10 mei 2021 pukul 20:00 wib.
Cara pendaftaran ugm jalur seleksi mandiri.
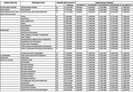
Ukt mahasiswa baru jalur snmptn dan sbmptn 2021. Berikut biaya ukt beberapa jurusan di ugm 2020. Sementara itu biaya ukt per semester terendah yakni rp 3 juta, dengan biaya pengembangan rp 30 juta diantaranya di prodi sastra indonesia dan sastra daerah. Selain tahapan tes, peminat jalur mandiri ugm juga dapat mengetahui informasi pembiayaan kuliah atau uang kuliah tunggal (ukt) di kampus tersebut. Jalur seleksi penerimaan mahasiswa baru mandiri (spmb mandiri) merupakan salah satu jalur masuk mandiri uin syarif hidayatullah jakarta melalui sistem seleksi elektronik (sse). Besaran ukt s1 jalur mandiri ui. Pengumuman hasil seleksi keluar pada 25 mei 2021. Ugm sendiri menyamaratakan jumlah ukt untuk setiap jalur penerimaan, baik itu mahasiswa yang diterima melalui jalur snmptn, sbmptn undip atau universitas diponegoro juga memberlakukan besaran ukt yang sama untuk setiap jalur penerimaan (snmptn, sbmptn, dan seleksi mandiri). Artinya semua jalur pendaftaran seperti snmptn, sbmptn, ujian mandiri, dan jalur lain akan memiliki sistem pengelompokan ukt yang sama. Tapi dengan jalur masuk mandiri kita tidak bisa memiliki kesempatan mendapatkan ukt kelas 1,2 dan 3. Mahasiswa yang diterima melalui jalur seleksi ini akan memperoleh beasiswa ukt selama 8 semester dari ugm, apabila memenuhi prestasi yang. Seleksi mandiri ub merupakan seleksi masuk universitas brawijaya yang diselenggarakan secara mandiri oleh universitas brawijaya. Cara pendaftaran ugm jalur seleksi mandiri.
Tapi dengan jalur masuk mandiri kita tidak bisa memiliki kesempatan mendapatkan ukt kelas 1,2 dan 3. Jalur mandiri untuk s1 ugm meliputi : Untuk jalur mandiri sendiri, admin belum dapat info kredibel mengenai hal ini. Kategori kelompok uang kuliah tunggal (ukt) program sarjana dan sarjana terapan, jalur snmptn, sbmptn, dan seleksi mandiri ta 2021/2022 adalah sebagai berikut Seleksi mandiri ub merupakan seleksi masuk universitas brawijaya yang diselenggarakan secara mandiri oleh universitas brawijaya.
Apakah Ukt Mandiri Ugm Lebih Mahal Dibandingkan Jalur Yang Lain Seperti Snm Sbm Quora from qph.fs.quoracdn.net Biaya kuliah ugm terbaru & terlengkap dari besaran ukt, syarat & jalur masuk ugm dari jalur snmptn, sbmptn serta jalur ujian tulis mandiri. Ukt mahasiswa baru jalur snmptn dan sbmptn 2021. Penetapan ukt hari kamis tanggal 8 agustus 2019 jam 13:00 wib. Jalur mandiri untuk s1 ugm meliputi : Universitas gadjah mada dalam pembayaran kuliah baik dari jalur snmptn, jalur sbmptn, jalur ujian mandiri, dan jalur prestasi telah menerapkan sistem biaya kuliah ugm dengan ukt (uang kuliah tunggal) sejak tahun ajaran 2013 lalu. Kategori kelompok uang kuliah tunggal (ukt) program sarjana dan sarjana terapan, jalur snmptn, sbmptn, dan seleksi mandiri ta. Jika kalian ada info, bisa banget bantu menambahkan informasi melalui kolom komentar yah. Jalur seleksi penerimaan mahasiswa baru mandiri (spmb mandiri) merupakan salah satu jalur masuk mandiri uin syarif hidayatullah jakarta melalui sistem seleksi elektronik (sse).
Beranda kilas kampus berikut daftar ukt jalur mandiri unm.
Cara pendaftaran ugm jalur seleksi mandiri. Biaya kuliah jalur mandiri ugm tetap menggunakan sistem ukt dengan melihat latar belakang atau kemampuan ekonomi orang tua. Berita terbaru cpns 2021/2022 silahkan kunjungi sscn bkn 2021/2022. Syarat, rincian biaya, dan jadwal seleksi ujian mandiri universitas gadjah mada (um ugm) 2021 yang telah dibuka sejak 2 juni 2021. Pembiayaan kuliah di jalur seleksi mandiri ugm, ternyata sama dengan jalur seleksi nasional masuk perguruan tinggi negeri (snmptn). Ugm sendiri menyamaratakan jumlah ukt untuk setiap jalur penerimaan, baik itu mahasiswa yang diterima melalui jalur snmptn, sbmptn undip atau universitas diponegoro juga memberlakukan besaran ukt yang sama untuk setiap jalur penerimaan (snmptn, sbmptn, dan seleksi mandiri). Pengumuman hasil seleksi keluar pada 25 mei 2021. Mahasiswa yang diterima melalui jalur seleksi ini akan memperoleh beasiswa ukt selama 8 semester dari ugm, apabila memenuhi prestasi yang. Ukt unand mandiri, ukt universitas negeri malang, ukt unimed tahun 2018, ukumu, ukum local government, ultimy lexington ky, ultimtorgncnutr debit card charge, ukt unand, utumusic, uk umbrella culture seleksi mandiri ugm bidikmisi. Sementara di program sarjana terapan, ukt paling rendah sebesar rp 12 juta dan paling tinggi sebesar rp 14 juta. Total biaya kuliah lewat jalur mandiri di ptn favorite 2020. Uang ukt ini nantinya sudah mecakup semua biaya masuk hingga biaya kuliah mahasiswa selama kuliah di ugm. Sementara itu biaya ukt per semester terendah yakni rp 3 juta, dengan biaya pengembangan rp 30 juta diantaranya di prodi sastra indonesia dan sastra daerah.
Berbagi
Posting Komentar
untuk "Ukt Ugm Jalur Mandiri / Cek Link Pengumuman Hasil Cbt Um Ugm Selasa 6 Juli 2021 Utul Jalur Mandiri Ini Laman Universitas Gadjah Mada Seputar Lampung - Besaran ukt s1 jalur mandiri ui."
Posting Komentar untuk "Ukt Ugm Jalur Mandiri / Cek Link Pengumuman Hasil Cbt Um Ugm Selasa 6 Juli 2021 Utul Jalur Mandiri Ini Laman Universitas Gadjah Mada Seputar Lampung - Besaran ukt s1 jalur mandiri ui."
Posting Komentar