Contoh Surat Lamaran Cpns Kabupaten Rokan Hilir : Formasi Cpns Pppk Kabupaten Rokan Hilir Tahun 2019 / Surat mandat contoh penulisan amplop lamaran kerja cpns yang bertanda.

Contoh Surat Lamaran Cpns Kabupaten Rokan Hilir : Formasi Cpns Pppk Kabupaten Rokan Hilir Tahun 2019 / Surat mandat contoh penulisan amplop lamaran kerja cpns yang bertanda.. Cara menjadi orang yang lulus lowongan cpns kabupaten rokan hilir buka lagi di 2019, jumlahnya total pns nasional 254.173 harus lolos passing grade, ini dia hasil tes lowongan cpns kabupaten rokan hilir buka lagi di 2019, jumlahnya total pns nasional 254.173 gunakan cat harus dilampaui Cpns kabupaten nias 2021 lulusan sma smk d3 s1 s2. (0321)592463 kode pos 61382mojokerto,14 desember 2015nomor : Persyaratan dan tata cara pendaftaran persyaratan umum 2. Formasi cpns kabupaten rokan hilir formasi lengkap format excel unduh di link ini.

Blog ini memuat review dan contoh format terbaru dan terlengkap mengenai administrasi desa, administrasi keuangan dan manajemen konstruksi. Rab, apbdes, rkpdesa, rpjmdesa, desain gambar, surat menyurat, siskeudes, software akuntansi dan manajemen konstruksi proyek (accounting and construction project management software), sk kepala desa, perdes, perkades, permendagri, permendesa, perka lkpp. Formasi cpns kabupaten rokan hilir formasi lengkap format excel unduh di link ini. Unggah atau kirim surat lamaran dan surat pernyataan cpns kabupaten rokan hilir 2021. Daftar online cpns kab rokan hilir 2019.

Contoh Surat Lamaran Cpns Provinsi Kepri Sijorikepri Sijori Kepri
Contoh Surat Lamaran Cpns Provinsi Kepri Sijorikepri Sijori Kepri from sijorikepri.com
Saat ini jadwal pendaftaran cpns 2021 masih menunggu kepastian. Berikut ini adalah daftar lengkap formasi cpns provinsi riau tahun 2019. Daftar online cpns kab rokan hilir 2019. Pengumuman lowongan penerimaan cpns kabupaten rokan hilir 2019/2020 lulusan telah di mulai. Kubu babussalam 10 kabupaten rokan hilir diii* 11 kec. Nah bagi anda yang saat ini sedang mencari informasi penerimaan cpns 2018, khususnya untuk pemerintah kabupaten rokan hulu tahun anggaran 2018, yakni berkenaan dengan jadwal pendaftaran, formasi persyaratan, cara mendaftar cpns online 2018 kabupaten rokan hulu hingga. Pendaftaran lowongan cpns kabupaten rokan hilir sudah pasti ditunggu oleh banyak orang. Cara menjadi orang yang lulus lowongan cpns kabupaten rokan hilir buka lagi di 2019, jumlahnya total pns nasional 254.173 harus lolos passing grade, ini dia hasil tes lowongan cpns kabupaten rokan hilir buka lagi di 2019, jumlahnya total pns nasional 254.173 gunakan cat harus dilampaui

Saat ini jadwal pendaftaran cpns 2021 masih menunggu kepastian.

Dan instansi pemerintah daerah seperti pemerintah provinsi (pemprov), pemerintah kotamadya (pemkot) atau pemerintah kabupaten (pemkab) dapat anda unduh pada tautan yang admin sediakan di bawah. Hasil akhir seleksi cpns 2021 kabupaten rokan hilir. Agar lebih paham, lihat contoh surat di sini. 20 s/d 27 januari 2018 di bumi perkemahan datuk comel kwarcab rokan hilir di kepenghuluan. Berkas lamaran cpns rohil sudah diserahkan ke bkd. Rab, apbdes, rkpdesa, rpjmdesa, desain gambar, surat menyurat, siskeudes, software akuntansi dan manajemen konstruksi proyek (accounting and construction project management software), sk kepala desa, perdes, perkades, permendagri, permendesa, perka lkpp. Contoh surat lamaran cpns / pppk / p3k kabupaten rokan hilir2019. Pada penerimaan cpns 2019 ini, kebijakan rekrutmen cpns 2019 memprioritaskan pada jenis formasi sebagai berikut : Kabupaten ini sebelumnya termasuk ke dalam kabupaten bengkalis. Teluk meranti 07 kabupaten pelalawan diii* 8 kec. (0321)592463 kode pos 61382mojokerto,14 desember 2015nomor : Ibukotanya terletak di bagansiapiapi, kota terbesar, bersejarah, dan pernah dikenal sebagai penghasil ikan terbesar di indonesia. Info lowongan cpns 2015, info cpns 2015 terbaru, info honorer k2, info k2 terbaru, selamat malam seluruh warga indonesia yang setia dan sering membaca blog ini, kini admin akan membuat contoh surat pernyataan cpns 2015, beberapa artikel yang admin baca di berbagai media baik cetak dan media elektronik banyak sekali para pembaca serta pencari kerja lowongan kerja asn yaitu cpns 2015, kali ini.

Tentang kebutuhan pegawai aparatur sipil negara di lingkungan kabupaten rokan hilir tahun anggaran 2018, pemerintah kabupaten rokan hilir akan melaksanakan seleksi penerimaan cpns tahun anggaran 2018 sebagaimana rincian terlampir dengan ketentuan sebagai berikut: Kubu babussalam 10 kabupaten rokan hilir diii* 11 kec. Berkas lamaran cpns rohil sudah diserahkan ke bkd. Namun, sejumlah lowongan cpns 2021 sudah diumumkan. Sungai apit 09 kabupaten s i a k diii* 10 kec.

Https Www Caradaftarcpns Com Cara Daftar Instansi Cpns Periode 2 Untuk Lulusan Sma Slta Smk Sederajat 2018 06 12t08 44 48z Https Www Caradaftarcpns Com Wp Content Uploads 2017 09 Daftar Instansi Cpns Periode 2 Untuk Lulusan Sma Slta
Https Www Caradaftarcpns Com Cara Daftar Instansi Cpns Periode 2 Untuk Lulusan Sma Slta Smk Sederajat 2018 06 12t08 44 48z Https Www Caradaftarcpns Com Wp Content Uploads 2017 09 Daftar Instansi Cpns Periode 2 Untuk Lulusan Sma Slta from www.caradaftarcpns.com
Unggah atau kirim surat lamaran dan surat pernyataan cpns kabupaten rokan hilir 2021. Kubu babussalam 10 kabupaten rokan hilir diii* 11 kec. Teluk belengkong 05 kabupaten indragiri hilir s1* 6 kec. Maka penting bagi peserta untuk tahu bagaimana cara melihat hasil seleksi administrasi cpns kabupaten rokan hilir 2019. Rab, apbdes, rkpdesa, rpjmdesa, desain gambar, surat menyurat, siskeudes, software akuntansi dan manajemen konstruksi proyek (accounting and construction project management software), sk kepala desa, perdes, perkades, permendagri, permendesa, perka lkpp. Yang terbanyak untuk tenaga teknis tamatan slta dan sarjana. Nah bagi anda yang saat ini sedang mencari informasi penerimaan cpns 2018, khususnya untuk pemerintah kabupaten rokan hilir tahun anggaran 2018, yakni berkenaan dengan jadwal pendaftaran, formasi persyaratan, cara mendaftar cpns online 2018 kabupaten rokan hilir. Agar lebih paham, lihat contoh surat di sini.

Formasi dan jabatan cpns 2018 pemerintah kab.

Contoh surat undangan perpisahan sekolah tk have an image associated with the other.contoh surat undangan perpisahan sekolah tk in addition, it will feature a picture of a sort that might be seen in the gallery of contoh surat undangan perpisahan sekolah tk. (0321)592463 kode pos 61382mojokerto,14 desember 2015nomor : Unggah atau kirim surat lamaran dan surat pernyataan cpns kabupaten rokan hilir 2021. Jika kalian berharap lulus lowongan kerja rokan hilir 2020, ada hal yang wajib dipersiapkan sebelum melamar kerja. Kalau lulus seleksi administrasi cpns provinsi riau 2018, dapat melanjutkan ke tahap berikutnya. Hasil akhir seleksi cpns 2021 kabupaten rokan hilir. Kerinci kanan 08 kabupaten s i a k diii* 9 kec. The collection that comprising chosen picture and the best among others. Format contoh surat undangan perpisahan sekolah tk terbaru 2019. Rokan hilir kabupaten rokan hilir kabupaten rokan hilir adalah sebuah kabupaten di provinsi riau, indonesia. Kubu babussalam 10 kabupaten rokan hilir diii* 11 kec. Pulau burung 06 kabupaten indragiri hilir s1* 7 kec. Formasi cpns kabupaten pelalawan formasi lengkap format excel unduh di link ini.

Formasi dan jabatan cpns 2018 pemerintah kab. Maka penting bagi peserta untuk tahu bagaimana cara melihat hasil seleksi administrasi cpns kabupaten rokan hilir 2019. Cara menjadi orang yang lulus lowongan cpns kabupaten rokan hilir buka lagi di 2019, jumlahnya total pns nasional 254.173 harus lolos passing grade, ini dia hasil tes lowongan cpns kabupaten rokan hilir buka lagi di 2019, jumlahnya total pns nasional 254.173 gunakan cat harus dilampaui Blog ini memuat review dan contoh format terbaru dan terlengkap mengenai administrasi desa, administrasi keuangan dan manajemen konstruksi. Teluk meranti 07 kabupaten pelalawan diii* 8 kec.

Contoh Surat Lamaran Surat Pernyataan Cpns 2019 Kabupaten Kota Di Provinsi Sumatera Selatan Sanjayaops
Contoh Surat Lamaran Surat Pernyataan Cpns 2019 Kabupaten Kota Di Provinsi Sumatera Selatan Sanjayaops from 2.bp.blogspot.com
Format contoh surat undangan perpisahan sekolah tk terbaru 2019. Dan saat ini proses penerimaan cpns kabupaten rokan hilir tahun anggaran 2019 sudah memasuki pada tahapan pengumuman hasil verifikasi berkas / dokumen peserta yang telah diunggah / dikirimkan sebelumnya. Kabupaten ini sebelumnya termasuk ke dalam kabupaten bengkalis. Cpns kabupaten nias 2021 lulusan sma smk d3 s1 s2. Persyaratan dan tata cara pendaftaran persyaratan umum 2. Formasi dan jabatan cpns 2018 pemerintah kab. Pengumuman hasil seleksi administrasi cpns 2018 kota pekanbaru. Contoh surat lamaran cpns / pppk / p3k kabupaten rokan hilir2019.

Contoh amplop cpns 2019, download surat lamaran kerja tes cpns terbaru dari berbagai formasi lamaran dan lokasi kabupaten/kota dan kementerian.

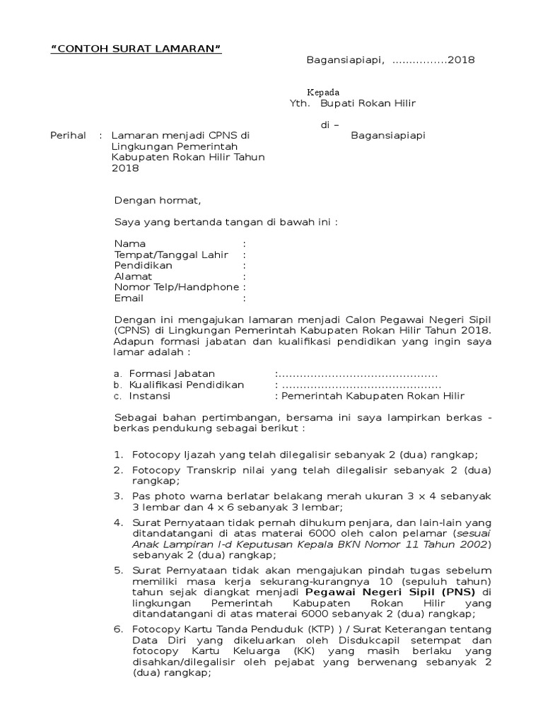
Agar lebih paham, lihat contoh surat di sini. Ibukotanya terletak di bagansiapiapi, kota terbesar, bersejarah, dan pernah dikenal sebagai penghasil ikan terbesar di indonesia. Formasi dan jabatan cpns 2018 pemerintah kab. Format contoh surat undangan perpisahan sekolah tk terbaru 2019. Lamaran menjadi cpns di lingkungan pemerintah kabupaten rokan hilir tahun 2019 yth. Petunjuk cara daftar cpns pemkab rokan hilir 2019 2020. Daftar online cpns kab rokan hilir 2019. Formasi cpns kabupaten pelalawan formasi lengkap format excel unduh di link ini. Dan saat ini proses penerimaan cpns kabupaten rokan hilir tahun anggaran 2019 sudah memasuki pada tahapan pengumuman hasil verifikasi berkas / dokumen peserta yang telah diunggah / dikirimkan sebelumnya. Contoh surat lamaran cpns / pppk / p3k kabupaten rokan hilir2019. 20 s/d 27 januari 2018 di bumi perkemahan datuk comel kwarcab rokan hilir di kepenghuluan. Penyerahan sk cpns akan dilakukan pada hari kamis (21/01/2021) di halaman kantor bupati rokan hulu pada pukul 07.00 wib. Dengan ini mengajukan lamaran menjadi calon pegawai negeri sipil (cpns) di.

Posting Komentar untuk "Contoh Surat Lamaran Cpns Kabupaten Rokan Hilir : Formasi Cpns Pppk Kabupaten Rokan Hilir Tahun 2019 / Surat mandat contoh penulisan amplop lamaran kerja cpns yang bertanda."